氡(222Rn),是一种常见于地壳中的放射性惰性气体,对地壳应力/应变的变化十分敏感。因此,地下水中氡浓度的监测被广泛认为是一种有效的地震前兆探测方法。现有研究大多集中于地震前氡浓度异常的探讨,且关于这些异常变化的机制多以定性讨论为主。相比之下,关于地震后氡浓度变化的研究较为匮乏,其潜在的物理机制尚未得到定量的解释。因此,建立定量模型以阐释氡浓度变化的原因,是深入了解其潜在机制的关键一步。
针对上述科学问题,我校水资源与环境学院博士生刘伟在导师史浙明教授的指导下,以云南西部龙陵邦腊掌温泉为研究对象,耦合流量和水温数据,应用地下水混合模型及裂缝系统中的氡守恒方程,定量分析了1996年丽江7.0级地震和2004年苏门答腊9.1级地震引起的地下水氡浓度变化机制。取得了以下主要认识:
(1)丽江地震后邦腊掌温泉水氡浓度的变化主要是由深层热水与浅层冷水混合比例的改变所造成的(图1a-1c)。
(2)苏门答腊地震后水氡浓度的变化是由地震时深浅水混合比例的改变(图1d-1f)以及地震后岩石颗粒中氡的释放(图2b)所造成的。
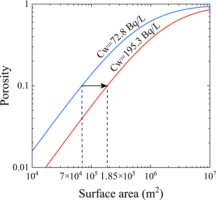
(3)苏门答腊地震引起的岩石颗粒移动,增加了水岩相互作用的表面积(图3),从而促进颗粒中氡的释放。
本研究表明,流量、水温与氡浓度的耦合为解释地震引起的水文响应提供了有力支持。因此,多参数监测在准确、及时检测地震相关信号中至关重要。

图1 1996丽江地震和2004苏门答腊地震后地下水混合模型对流量、水温和水氡浓度的拟合结果(红线表示丽江7.0级主震及苏门答腊9.1级地震的拟合曲线;橙线表示丽江4.8级余震的拟合曲线;蓝线表示氡的自然衰减曲线;垂直绿线表示主要余震)

图2 1996丽江地震和2004苏门答腊地震后岩石颗粒中氡释放的示意图

图3 2004年苏门答腊地震引起的水氡浓度随表面积的变化
该研究得到了国家自然科学基金(42472315)的资助。上述研究成果发表在国际权威地学期刊《Journal of Geophysical Research: Solid Earth》上:Liu, W., Shi, Z.*, Bai, Y., Yan, R., & Ma, Y. (2025). Investigating the Mechanisms of Earthquake‐Induced Groundwater Radon Changes in a Hot Spring‐Insight From Coupled Flow Rates, Water Temperature, and Radon Observation. Journal of Geophysical Research: Solid Earth, 130(4), e2024JB030878.
全文链接:https://doi.org/10.1029/2024JB030878

